二、两个率的比较《医学统计学》

二、两个率的比较

关于计数资料,求出特征数百分率后,率与率的比较一般采用第三章介绍的X2检验法,在大样本时,根据样本率分布呈正态分布的特点,也可用u检验。

例7.7 某地曾流行一种原因不明的皮炎,有关部门进行调查时,以宅旁有桑毛虫寄生树的人群为观察组(第1组),以宅旁无该树者为对照组(第2组),两组患病率如下,经显着性检验可得什么结论?

表7.4 两组皮炎患病率

组 别观察例数患者患病率(%)
观察组14410572.92
对照组1396647.48
合 计28317160.42

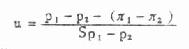
(1)检验假设 HO:两组相应的总体率相等即π12,H1:π1≠π2

(2)显著性水准 为使结论更加可靠,定α=0.01,则1%界u0.01=2.58。

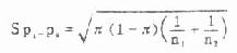
(3)求两样百分率的相差、两百分率相差的标准误Sp1—p2及u值。

式内π为两组合计百分率,此例为0.6042,见表7.4合计栏。

(7.6)

将有关数字代入得

(4)结论 │u│=4.379>u0.01=2.58,P<0.01,也即在α=0.01水准处拒绝H0,接受H1,即μ1≠μ2,宅旁有桑毛虫寄生树的人群皮炎患病率较高。

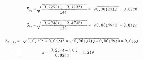
此外,两百率相差的标准误Sp1-p2还有近似计算公式如下;

(7.7)

式中S2P1、S5P2分别为第1、2两组百分比的标准误的平方,标准误计算公式即式(6.4)

用上例数据代入可算得

这里,标准误与u值尽管和前面算得的稍有出入,但还是│u│>u0.01=2.58,P<0.01,结论相同。

上一页:一、两均数的比较
当前页:二、两个率的比较
下一页:第三节 正态性检验与两方差的齐性检验