| 一、两均数的比较 | 《医学统计学》 |
一、两均数的比较例7.6 某工业区卫生防疫站为掌握学龄儿童免疫球蛋白水平,对一批无结核及肾炎病史,一月内无急性感染,又未进行预防接种的学生作了血清IgM(mg/dl)测定,其中12岁男孩73人的X±S为125±54,12岁女孩68人的为153±75,试比较12岁男、女孩的IgM水平有无显着差别。 这里令男生为第1组,女生为第2组。 (1)检验假设H0:μ1=μ2;H1:μ1≠μ2。 (2)定α=0.05则对应于P为0.05时的u0.05值为1.96。 (3)求两均数的相差数X1-X2、两均数相差的标准误Sχ1-χ2及u值。此外,计算Sχ1-χ2的公式为
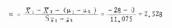
将有关数字代入得 X1-X2=125-153=-28
然后求u
(4)结论 因│u┃>u0.05=1.96,P<0.05。在α=0.05水准处拒绝H0而接受H1,即μ1≠μ2,故认为12岁女孩的血清免疫球蛋白IgM高于同龄男孩。
|