二、两组资料的比较《医学统计学》

二、两组资料的比较

此法又称为wilcoxon氏两样本法。

处理时也可用查表法或计算法,今以例10.4分别说明之。

查表法步骤:

1.各自排队,统一编秩号,即将两组数据分别从小到大排列,但编秩号时要两组统一进行,凡分属于两组的相等数据用平均秩号,如本例0.042共三个,取平均序号皆为8。

2.令较小样本秩号之和为r ,例数为n

3.计算R',公式为:

R'=n1(n1+n2+1)-r (10.6)

R'是同一个样本资料,当秩号倒排(即由大至小)时较小样本秩号之和。

4.以R和R'两秩号之和中较小者与附表13中R的临界值比较,以作出判断,其标准仍是:

R>R0.05时 P>0.05

R0.05≥R>R0.01时 0.05≥P>0.01

P≤R0.01时 P≤0.01

例10.4 请以表10.2资料用本法处理之。

表10.4 九名健康人与八名铅作业工人的尿铅值(mg/L)

健康人秩号铅作业工人秩号
0.00110.0428
0.00220.0428
0.01430.04810
0.02040.05011
0.03250.08214
0.03260.08615
0.04280.09216
0.054120.09817
0.06413  
n2=954n1=8R=99

先将本表10.2中两组数据各自排队并统一编秩号,结果见表10.4。

较小样本为铅作业工人组,n1=8,R=99,代入式(10.6)

R'=8(8+9+1)-99=45

R与R'两者中以R'较小,故以P'值与附表13数值比较,得R0.05=51,R0.01=45;今R'=R0.01,故P=0.01,在α=0.05水平上拒绝H0,接受H1,差别显著,故铅作业工人尿铅值比健康人高。

计算法步骤:

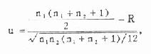
两组资料比较时,也可用计算法。用计算法时,对两组数据各自排队、统一编秩号同查表法,不同的是求得秩号之和以后计算,公式是:

u0.05=1.96u0.01=2.58 (10.7)

为便于计算和前后符号一致,n1作为较小样本例数,R为较小样本的秩和,n2则为较大样本的例数。

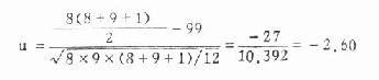
本例n1=8,R=99,n2=9代入公式得:

今∣u∣>u0.01,故P<0.01,在α=0.01水准上拒绝H0接受H1,其结论同查表法,

据研究,当n1、n2都大于8时,算得的u近于正态分布,若例数太少,则以查表法更为精确。

本例如用t检验的团体比较处理,则t=3.169,P<0.01,二者结论一致,但与符号检验结论不同(χ2=2.930,P>0.05)同样说明符号检验较粗糙,检验效率低,而秩和检验与t检验的结论较近。

上一页:一、成对资料的比较
当前页:二、两组资料的比较
下一页:三、两组等级资料的比较