| 一、成对资料的比较 | 《医学统计学》 |
一、成对资料的比较现以例10.1说明其计算步骤如下: 1.划出每对数值的正负号,如令用药后每分钟灌流滴数大于用药前的为“+”,反之为“-”,相等为“0”,则其结果见表10.1最右侧栏。 2.清点“+”、“-”、“0”各有几个,分别记为n+、n-、n0,得n+=9,n-=3,n0=0 3.代入式(10.1),求得χ2值
4.但χ2值表,作出结论。 例10.1 表10.1为豚鼠注入肾上腺素前后的每分钟灌流滴数,试比较给药前后灌流滴数有无显著差别。 表10.1 豚鼠给药前后的灌流滴数
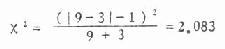
将n+=9,n-=3代入式(10.1)得
χ20.05,1=3.841,今χ2<χ20.05,1,故P<0.05,不能拒绝检验假设H0,故这种相差是不显著的,不能得出用药后比用药前灌流滴数增加的结论。 此法简便,但较粗糙,数据少于6对时,不能测出显著性,12对以下应慎用,当达到20对以上时,其结果才比较可靠,另外,n。较多时,会夸大差别。
| ||||||||||||||||||||||||||||||||||||||||||||||||||||||||||